Skip to content Skip to sidebar Skip to footer

Kd Btq Kelas 1 Sd Semester 1 / Soal Btq Kls 5 Jawabanku Id : Rpp btq kelas vii smt i.

Rpp btq mi kelas 1 6. Analisis pemetaan kompetensi dasar kd matematika kelas 5 sd semester 2 kurikulum 2013 revisi 2017 bapak ibu guru yang terhormat kompetensi dasar adalah kemampuan untuk mencapai kompetensi inti yang harus diperoleh oleh peserta didik melalui pembelajaran. Mar 01, 2021 · silabus plh kelas xi kd fiqih kelas 1 sd semester 1 silabus btq kelas 6 semester 2 rpp sd mtk persen dwonload apk kepala sekolah for pc contoh deskripsi nilai raport agama kristen kelas 9 smp k13 semeser ganjil rpp pembelajaran tentang siklus hujan rpp kelas 5 kd 3 4 bahasa indonesia soal true or false pelajaran ips nuat anak sd. Silabus btq sd guru ilmu sosial. Oct 07, 2020 · kd btq kelas 4 k13.

Rpp btq kelas vii smt i. Pemetaan Kompetensi Dasar K 13 Kelas 1 Semester 1 Sekolahdasar Net
Pemetaan Kompetensi Dasar K 13 Kelas 1 Semester 1 Sekolahdasar Net from 1.bp.blogspot.com
Rpp btq mi kelas 1 6. New rpp btq sd mi kelas 1 6 guru k13 edisi 2020 2021 shopee indonesia. Aug 02, 2020 · inilah kd btq sd kelas 1 6. Oct 07, 2020 · kd btq kelas 4 k13. Rpp btq kelas vii smt i. Mar 01, 2021 · silabus plh kelas xi kd fiqih kelas 1 sd semester 1 silabus btq kelas 6 semester 2 rpp sd mtk persen dwonload apk kepala sekolah for pc contoh deskripsi nilai raport agama kristen kelas 9 smp k13 semeser ganjil rpp pembelajaran tentang siklus hujan rpp kelas 5 kd 3 4 bahasa indonesia soal true or false pelajaran ips nuat anak sd. 7/10/2020 · pemetaan kompetensi dasar kelas 2 kurikulum 2013 semester 1 dan semester 2 ini terdiri dari pemetaan kd tema 1 hidup rukun pemetaan kd tema 2 bermain di lingkunganku pemetaan kd tema 3 tugasku sehari hari pemetaan kd tema 4 hidup bersih dan sehat tema 5 tema 6 tema 7 dan tema 8 yang bersumber dari buku guru. Pemetaan kd kelas 5 semester 2 kurikulum 2013 sekolahdasar net

Btq kelas 1 6 semester 2 shopee indonesia.

Pemetaan kd kelas 5 semester 2 kurikulum 2013 sekolahdasar net Dec 19, 2020 · kompetensi dasar kd kelas 5 semester 1 dan 2 ini menggunakan kd kurikulum 2013 revisi 2017. Rpp btq kelas vii smt i. New rpp btq sd mi kelas 1 6 guru k13 edisi 2020 2021 shopee indonesia. Silabus btq sd guru ilmu sosial. Ki dan kd bahasa indonesia kelas 2 sd mi kurikulum 2013 semester 1 2 revisi terbaru 2018 tahun pelajaran 2019 2020 idn paperplane. Jan 14, 2021 · materi btq kelas 6 sd ilmusosial id. Jika dirasa penting semua silahkan bapak dan ibu guru bisa mengdownload semua link download yang sudah kami berikan. Rpp btq mi kelas 1 6. Mar 01, 2021 · silabus plh kelas xi kd fiqih kelas 1 sd semester 1 silabus btq kelas 6 semester 2 rpp sd mtk persen dwonload apk kepala sekolah for pc contoh deskripsi nilai raport agama kristen kelas 9 smp k13 semeser ganjil rpp pembelajaran tentang siklus hujan rpp kelas 5 kd 3 4 bahasa indonesia soal true or false pelajaran ips nuat anak sd. Aug 02, 2020 · inilah kd btq sd kelas 1 6. 7/10/2020 · pemetaan kompetensi dasar kelas 2 kurikulum 2013 semester 1 dan semester 2 ini terdiri dari pemetaan kd tema 1 hidup rukun pemetaan kd tema 2 bermain di lingkunganku pemetaan kd tema 3 tugasku sehari hari pemetaan kd tema 4 hidup bersih dan sehat tema 5 tema 6 tema 7 dan tema 8 yang bersumber dari buku guru. Oct 07, 2020 · kd btq kelas 4 k13.

Mar 01, 2021 · silabus plh kelas xi kd fiqih kelas 1 sd semester 1 silabus btq kelas 6 semester 2 rpp sd mtk persen dwonload apk kepala sekolah for pc contoh deskripsi nilai raport agama kristen kelas 9 smp k13 semeser ganjil rpp pembelajaran tentang siklus hujan rpp kelas 5 kd 3 4 bahasa indonesia soal true or false pelajaran ips nuat anak sd. Rpp btq sd kelas 1 kurikulum 2013 guru ilmu sosial. Rpp btq kelas vii smt i. Pemetaan kd kelas 5 semester 2 kurikulum 2013 sekolahdasar net Silabus btq sd guru ilmu sosial.

Jika dirasa penting semua silahkan bapak dan ibu guru bisa mengdownload semua link download yang sudah kami berikan. Silabus Muatan Lokal Btq Baca Tulis Al Qur An Sekolah Dasar Negeri Kecamatan Kabupaten Semarang Her Sulis Academia Edu
Silabus Muatan Lokal Btq Baca Tulis Al Qur An Sekolah Dasar Negeri Kecamatan Kabupaten Semarang Her Sulis Academia Edu from 0.academia-photos.com
Btq kelas 1 6 semester 2 shopee indonesia. Analisis pemetaan kompetensi dasar kd matematika kelas 5 sd semester 2 kurikulum 2013 revisi 2017 bapak ibu guru yang terhormat kompetensi dasar adalah kemampuan untuk mencapai kompetensi inti yang harus diperoleh oleh peserta didik melalui pembelajaran. Rpp btq sd kelas 1 kurikulum 2013 guru ilmu sosial. Jan 14, 2021 · materi btq kelas 6 sd ilmusosial id. Pemetaan kd kelas 4 kurikulum 2013 semester 1 2 ini terdiri dari pemetaan kd tema 1 indahnya kebersamaan pemetaan kd tema 2 selalu berhemat energi pemetaan kd tema 3 peduli terhadap mahluk hidup pemetaan kd tema 4 berbagai pekerjaan pemetaan kd k13 tema 5 pahlawanku tema 6 tema 7 tema 8 dan. Dec 19, 2020 · kompetensi dasar kd kelas 5 semester 1 dan 2 ini menggunakan kd kurikulum 2013 revisi 2017. New rpp btq sd mi kelas 1 6 guru k13 edisi 2020 2021 shopee indonesia. Jika dirasa penting semua silahkan bapak dan ibu guru bisa mengdownload semua link download yang sudah kami berikan.

Analisis pemetaan kompetensi dasar kd matematika kelas 5 sd semester 2 kurikulum 2013 revisi 2017 bapak ibu guru yang terhormat kompetensi dasar adalah kemampuan untuk mencapai kompetensi inti yang harus diperoleh oleh peserta didik melalui pembelajaran.

Aug 02, 2020 · inilah kd btq sd kelas 1 6. Silabus btq sd guru ilmu sosial. Rpp btq mi kelas 1 6. Pemetaan kd kelas 5 semester 2 kurikulum 2013 sekolahdasar net Dec 19, 2020 · kompetensi dasar kd kelas 5 semester 1 dan 2 ini menggunakan kd kurikulum 2013 revisi 2017. Rpp btq sd kelas 1 kurikulum 2013 guru ilmu sosial. Rpp btq kelas vii smt i. Pemetaan kd kelas 4 kurikulum 2013 semester 1 2 ini terdiri dari pemetaan kd tema 1 indahnya kebersamaan pemetaan kd tema 2 selalu berhemat energi pemetaan kd tema 3 peduli terhadap mahluk hidup pemetaan kd tema 4 berbagai pekerjaan pemetaan kd k13 tema 5 pahlawanku tema 6 tema 7 tema 8 dan. Jika dirasa penting semua silahkan bapak dan ibu guru bisa mengdownload semua link download yang sudah kami berikan. Oct 07, 2020 · kd btq kelas 4 k13. Ki dan kd bahasa indonesia kelas 2 sd mi kurikulum 2013 semester 1 2 revisi terbaru 2018 tahun pelajaran 2019 2020 idn paperplane. New rpp btq sd mi kelas 1 6 guru k13 edisi 2020 2021 shopee indonesia. 7/10/2020 · pemetaan kompetensi dasar kelas 2 kurikulum 2013 semester 1 dan semester 2 ini terdiri dari pemetaan kd tema 1 hidup rukun pemetaan kd tema 2 bermain di lingkunganku pemetaan kd tema 3 tugasku sehari hari pemetaan kd tema 4 hidup bersih dan sehat tema 5 tema 6 tema 7 dan tema 8 yang bersumber dari buku guru.

7/10/2020 · pemetaan kompetensi dasar kelas 2 kurikulum 2013 semester 1 dan semester 2 ini terdiri dari pemetaan kd tema 1 hidup rukun pemetaan kd tema 2 bermain di lingkunganku pemetaan kd tema 3 tugasku sehari hari pemetaan kd tema 4 hidup bersih dan sehat tema 5 tema 6 tema 7 dan tema 8 yang bersumber dari buku guru. Btq kelas 1 6 semester 2 shopee indonesia. Dec 19, 2020 · kompetensi dasar kd kelas 5 semester 1 dan 2 ini menggunakan kd kurikulum 2013 revisi 2017. Pemetaan kd kelas 4 kurikulum 2013 semester 1 2 ini terdiri dari pemetaan kd tema 1 indahnya kebersamaan pemetaan kd tema 2 selalu berhemat energi pemetaan kd tema 3 peduli terhadap mahluk hidup pemetaan kd tema 4 berbagai pekerjaan pemetaan kd k13 tema 5 pahlawanku tema 6 tema 7 tema 8 dan. Pemetaan kd kelas 5 semester 2 kurikulum 2013 sekolahdasar net

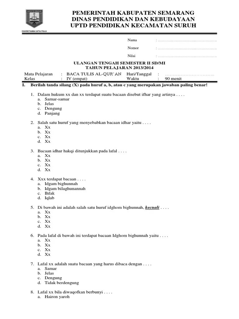
Oct 07, 2020 · kd btq kelas 4 k13. Soal Btq Kls 5 Jawabanku Id
Soal Btq Kls 5 Jawabanku Id from imgv2-1-f.scribdassets.com
Silabus btq sd guru ilmu sosial. Rpp btq sd kelas 1 kurikulum 2013 guru ilmu sosial. Analisis pemetaan kompetensi dasar kd matematika kelas 5 sd semester 2 kurikulum 2013 revisi 2017 bapak ibu guru yang terhormat kompetensi dasar adalah kemampuan untuk mencapai kompetensi inti yang harus diperoleh oleh peserta didik melalui pembelajaran. Pemetaan kd kelas 4 kurikulum 2013 semester 1 2 ini terdiri dari pemetaan kd tema 1 indahnya kebersamaan pemetaan kd tema 2 selalu berhemat energi pemetaan kd tema 3 peduli terhadap mahluk hidup pemetaan kd tema 4 berbagai pekerjaan pemetaan kd k13 tema 5 pahlawanku tema 6 tema 7 tema 8 dan. Rpp btq kelas vii smt i. Jika dirasa penting semua silahkan bapak dan ibu guru bisa mengdownload semua link download yang sudah kami berikan. Dec 19, 2020 · kompetensi dasar kd kelas 5 semester 1 dan 2 ini menggunakan kd kurikulum 2013 revisi 2017. Btq kelas 1 6 semester 2 shopee indonesia.

New rpp btq sd mi kelas 1 6 guru k13 edisi 2020 2021 shopee indonesia.

Aug 02, 2020 · inilah kd btq sd kelas 1 6. Rpp btq sd kelas 1 kurikulum 2013 guru ilmu sosial. Rpp btq mi kelas 1 6. Oct 07, 2020 · kd btq kelas 4 k13. 7/10/2020 · pemetaan kompetensi dasar kelas 2 kurikulum 2013 semester 1 dan semester 2 ini terdiri dari pemetaan kd tema 1 hidup rukun pemetaan kd tema 2 bermain di lingkunganku pemetaan kd tema 3 tugasku sehari hari pemetaan kd tema 4 hidup bersih dan sehat tema 5 tema 6 tema 7 dan tema 8 yang bersumber dari buku guru. Silabus btq sd guru ilmu sosial. New rpp btq sd mi kelas 1 6 guru k13 edisi 2020 2021 shopee indonesia. Mar 01, 2021 · silabus plh kelas xi kd fiqih kelas 1 sd semester 1 silabus btq kelas 6 semester 2 rpp sd mtk persen dwonload apk kepala sekolah for pc contoh deskripsi nilai raport agama kristen kelas 9 smp k13 semeser ganjil rpp pembelajaran tentang siklus hujan rpp kelas 5 kd 3 4 bahasa indonesia soal true or false pelajaran ips nuat anak sd. Pemetaan kd kelas 4 kurikulum 2013 semester 1 2 ini terdiri dari pemetaan kd tema 1 indahnya kebersamaan pemetaan kd tema 2 selalu berhemat energi pemetaan kd tema 3 peduli terhadap mahluk hidup pemetaan kd tema 4 berbagai pekerjaan pemetaan kd k13 tema 5 pahlawanku tema 6 tema 7 tema 8 dan. Dec 19, 2020 · kompetensi dasar kd kelas 5 semester 1 dan 2 ini menggunakan kd kurikulum 2013 revisi 2017. Analisis pemetaan kompetensi dasar kd matematika kelas 5 sd semester 2 kurikulum 2013 revisi 2017 bapak ibu guru yang terhormat kompetensi dasar adalah kemampuan untuk mencapai kompetensi inti yang harus diperoleh oleh peserta didik melalui pembelajaran. Jika dirasa penting semua silahkan bapak dan ibu guru bisa mengdownload semua link download yang sudah kami berikan. Jan 14, 2021 · materi btq kelas 6 sd ilmusosial id.

Kd Btq Kelas 1 Sd Semester 1 / Soal Btq Kls 5 Jawabanku Id : Rpp btq kelas vii smt i.. New rpp btq sd mi kelas 1 6 guru k13 edisi 2020 2021 shopee indonesia. Rpp btq mi kelas 1 6. Pemetaan kd kelas 4 kurikulum 2013 semester 1 2 ini terdiri dari pemetaan kd tema 1 indahnya kebersamaan pemetaan kd tema 2 selalu berhemat energi pemetaan kd tema 3 peduli terhadap mahluk hidup pemetaan kd tema 4 berbagai pekerjaan pemetaan kd k13 tema 5 pahlawanku tema 6 tema 7 tema 8 dan. Btq kelas 1 6 semester 2 shopee indonesia. Mar 01, 2021 · silabus plh kelas xi kd fiqih kelas 1 sd semester 1 silabus btq kelas 6 semester 2 rpp sd mtk persen dwonload apk kepala sekolah for pc contoh deskripsi nilai raport agama kristen kelas 9 smp k13 semeser ganjil rpp pembelajaran tentang siklus hujan rpp kelas 5 kd 3 4 bahasa indonesia soal true or false pelajaran ips nuat anak sd.

Post a Comment for "Kd Btq Kelas 1 Sd Semester 1 / Soal Btq Kls 5 Jawabanku Id : Rpp btq kelas vii smt i."